• Предмет: Алгебра
  • Автор: inabatseit
  • Вопрос задан 3 года назад

помогите
дам 20 баллов

Приложения:

gurtwwe: 1,9

Ответы

Ответ дал: vikaorazmedova
0

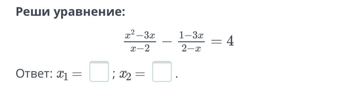
Ответ:

х1=1 х2=9

Объяснение:

На фото

Приложения:
Вас заинтересует