• Предмет: Алгебра
  • Автор: pupkin111111
  • Вопрос задан 3 года назад

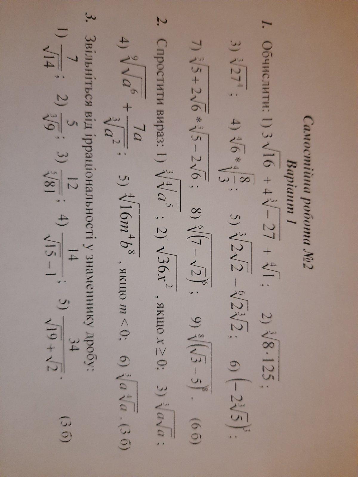
Помогите пж!!!Срочно

Приложения:

Ответы

Ответ дал: nasirzadehoo20
0

Ответ:

1.

3 \sqrt{16}  +  \sqrt[4]{ - 27}  +  \sqrt[4]{1}

3 \times 4 + 4 \times ( - 3) + 1

3 \times 4 - 4 \times 3 + 1

 = 1

Вас заинтересует