даю 50 баллов
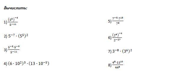
решите самостоятельную работу по теме: «Свойства степени с целым показателем».
Приложения:

Ответы
Ответ дал:
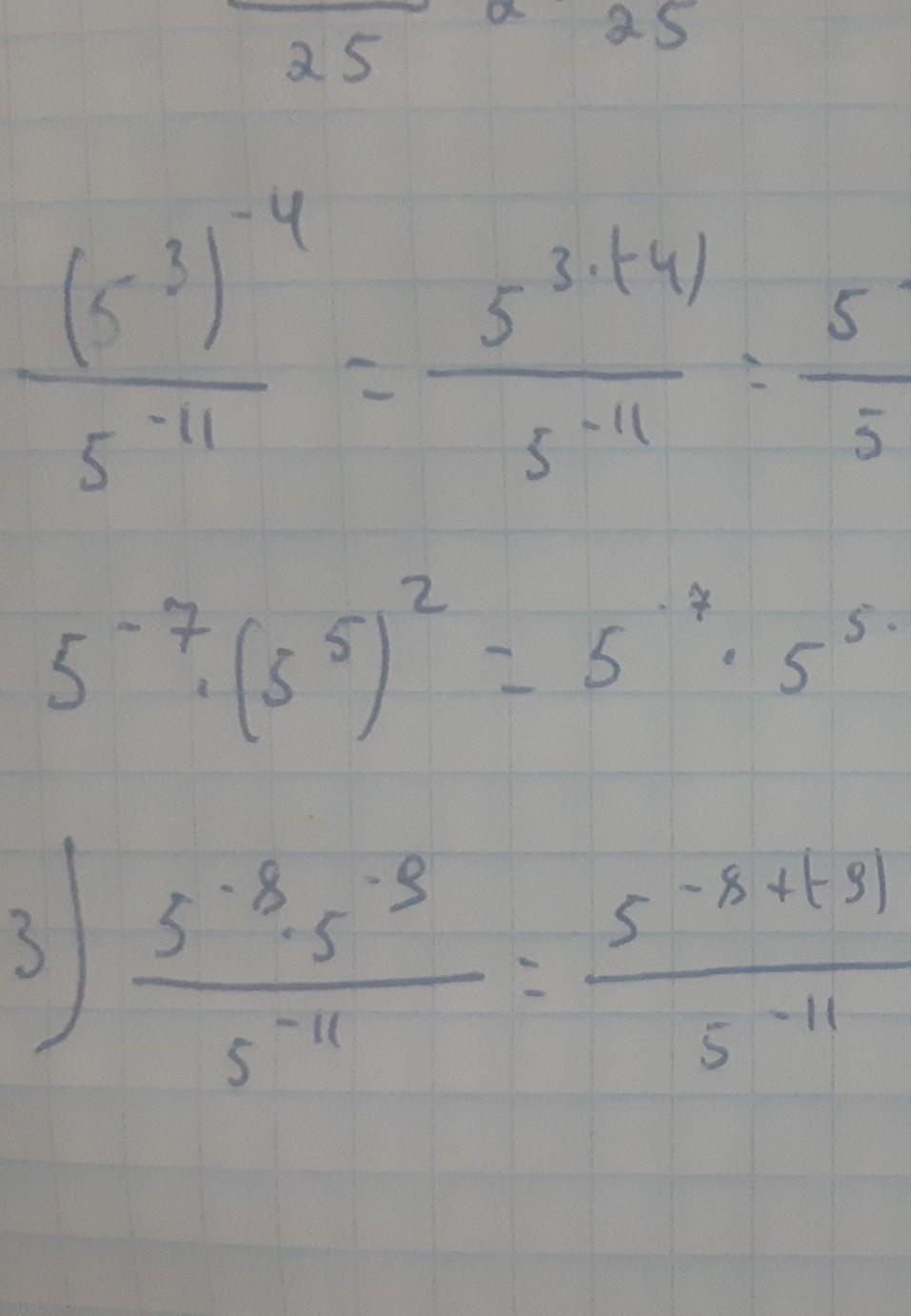
2
Ответ:
...................
Приложения:



vladislav07092006:
ты забыл 4 5 6 7 8 выражения!
Вас заинтересует
2 года назад
2 года назад
7 лет назад
7 лет назад
9 лет назад
9 лет назад