помогитепомогитепомогитепомогитепомогитепомогитепомогитепомогитепомогитепомогитепомогитепомогите
Приложения:

Ответы
Ответ дал:
1
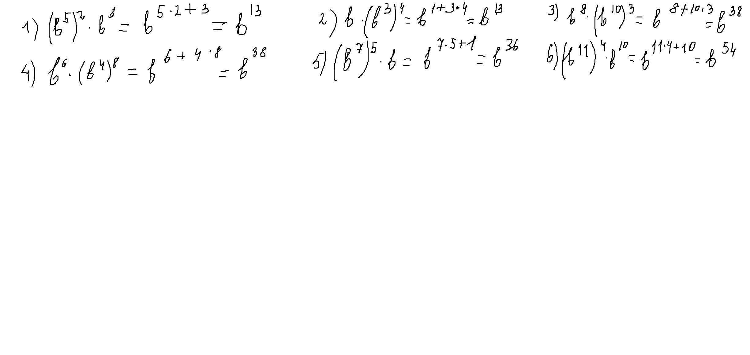
Ответ:
при умножении степеней с одинаковым основанием -показатели складываются,а при возведении в степень-умножаются.
Объяснение:
Приложения:

Вас заинтересует
2 года назад
2 года назад
2 года назад
9 лет назад