• Предмет: Алгебра
  • Автор: november2911
  • Вопрос задан 3 года назад

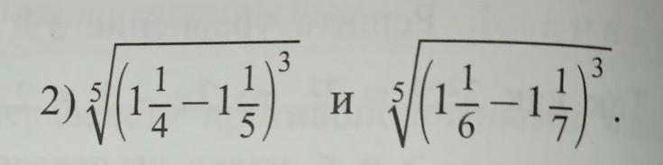
помогите с алгеброй, сделать сравнение​

Приложения:

Ответы

Ответ дал: dspw8do4odp49
1

Ответ:

второе выражение будет меньше

Объяснение:

(1 1/4-1 1/5)^3 > (1 1/6-1 1/7)^3

5/4-6/5>7/6-8/6

1/20>1/42

Вас заинтересует