• Предмет: Математика
  • Автор: olegmegapower
  • Вопрос задан 3 года назад

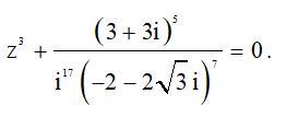
Помогите решить уравнение

Приложения:

Ответы

Ответ дал: SofiaHaritonova15
0

Ответ:

12

Пошаговое объяснение:

Вас заинтересует