помогите даю 100 баллов
Приложения:

Аноним:
Это ты, это я, между нами молния, с электрическим разрядом в 220 вольт!
Ответы
Ответ дал:
1
Ответ:
Пошаговое объяснение:
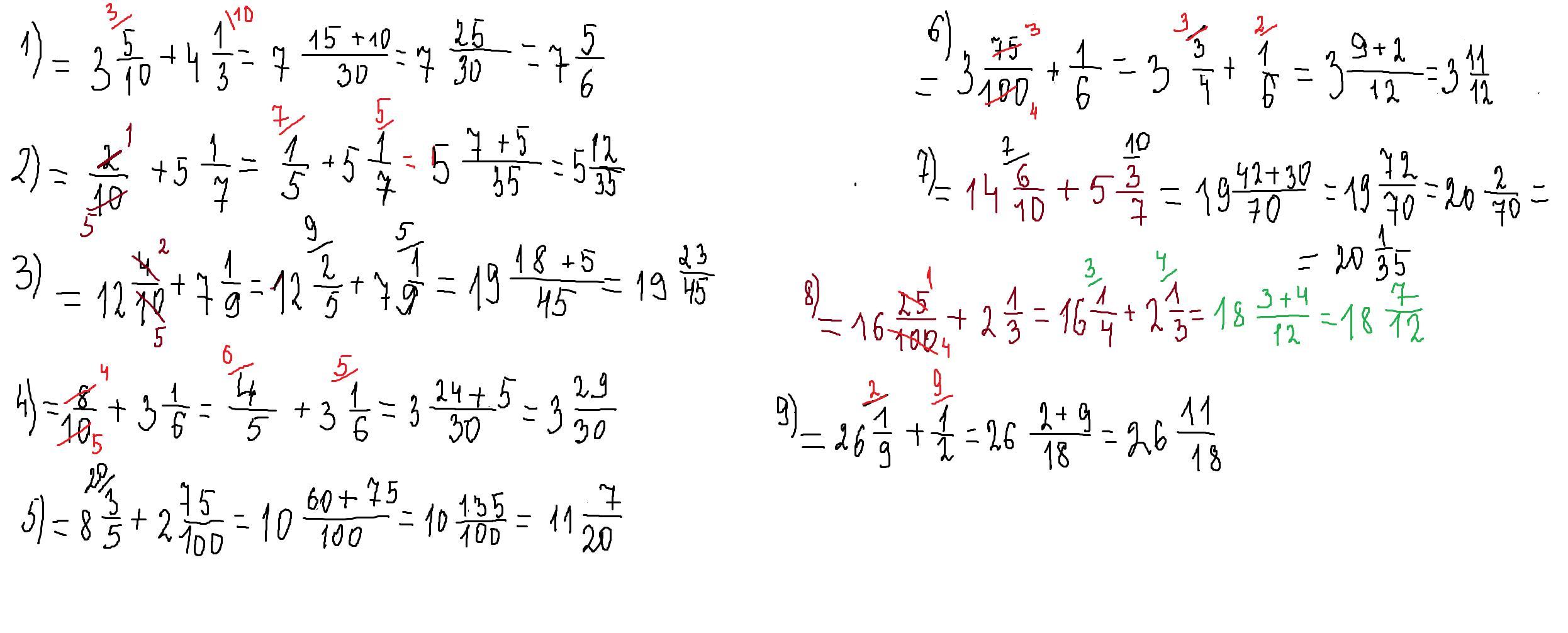
1)3 5/10+4 1/3=3 1/2+4 1/3= 7 1+1/6=7 5/6
2)2/10+5 1/7=1/5+5 1/7=5 1+1/35=5 12/35=6/17,5
3)12 2/5+7 1/9=19 2+1/45=19 23/45
4)4/5+3 1/6=3 4+1/30=3 29/30
5)8,6+2,75=11,35
6)3 3/4 + 1/6=3 3+1/12=3 22/12=3 11/6= 4 5/6
7)14 3/5+5 3/7=19 3+3/35=19 36/35=20 1/35
8)16 1/4+2 1/3=18 1+1/12=18 7/12
9)26 1/9+ 1/2=26 1+1/18=26 11/18
Ответ дал:
1
Ответ:
Пошаговое объяснение:
решение внизу
Приложения:

Вас заинтересует
2 года назад
2 года назад
2 года назад
7 лет назад
9 лет назад
9 лет назад