Ответы
Ответ дал:
0
Ответ:
Пошаговое объяснение:
Приложения:

artembezenov49:
о правильно у тебя
Ответ дал:
0
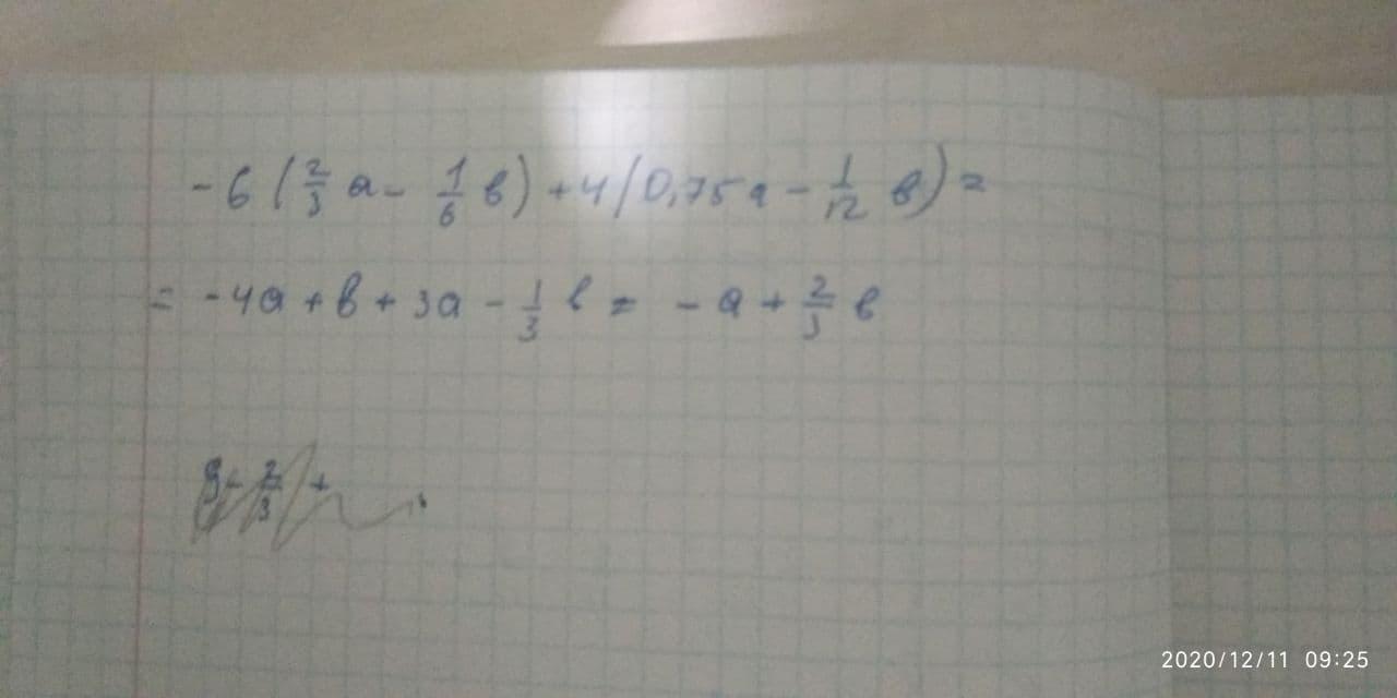
Ответ:
-6(2/3а-1/6b)+4(0,75а-1/12b)=-4a+b+3a-1/3b=-a+2/3b
Пошаговое объяснение:
Вас заинтересует
2 года назад
2 года назад
7 лет назад
9 лет назад