• Предмет: Математика
  • Автор: Аноним
  • Вопрос задан 3 года назад

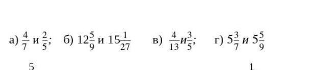
помогите прошу вас дроби сложные сравнить надо​

Приложения:

Ответы

Ответ дал: taisia3085
0

Ответ:

Ххахаха

Пошаговое объяснение:

Это ответочка за вопрос по английскому :)


Аноним: кхм и чо?
Аноним: я помогала сесире лол и помогла кже так что пошол назуй
Аноним: ху
Вас заинтересует