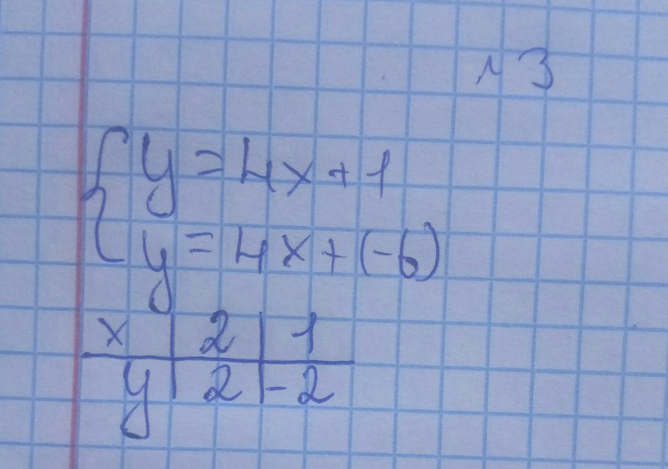
Запишите формулу линейной функции, график которой параллелен графику функции y=4x+1 и проходит через точку A(-2;2)
Ответы
Ответ дал:
0
Ответ:
Вроде бы правильно, надеюсь)))
Приложения:

Вас заинтересует
2 года назад
2 года назад
2 года назад
2 года назад
7 лет назад
7 лет назад