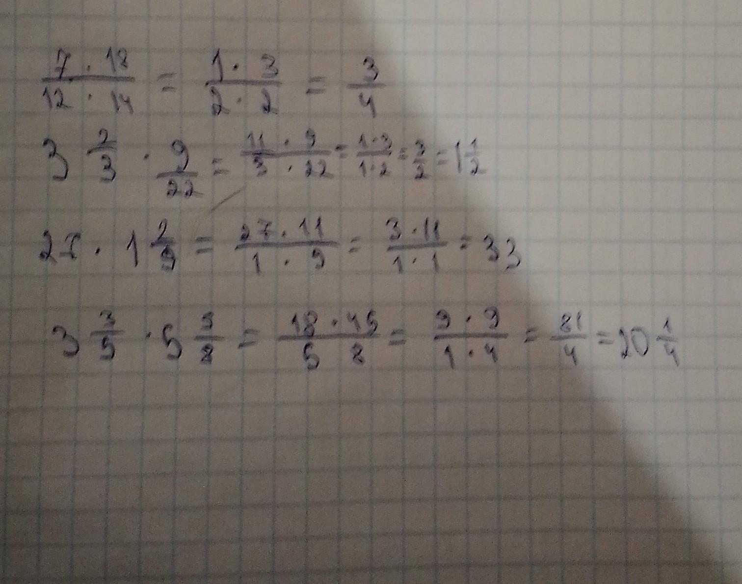
Найди произведение: (1)7/12 • 18/14; (2) 3 целых 2/3 • 9/22; (3)27 •1 целых 2/9; (4) 3 целых 3/5 • 5 целых 5/8;
Ответы
Ответ дал:
3
Пошаговое объяснение:
Все расписал наздоровье!
Приложения:

Вас заинтересует
2 года назад
2 года назад
7 лет назад
7 лет назад
9 лет назад
9 лет назад