• Предмет: Математика
  • Автор: stoanovakata157
  • Вопрос задан 3 года назад

Посогите пожалуйста я вас умоляю прошу​

Приложения:

Ответы

Ответ дал: ya1glupa
0

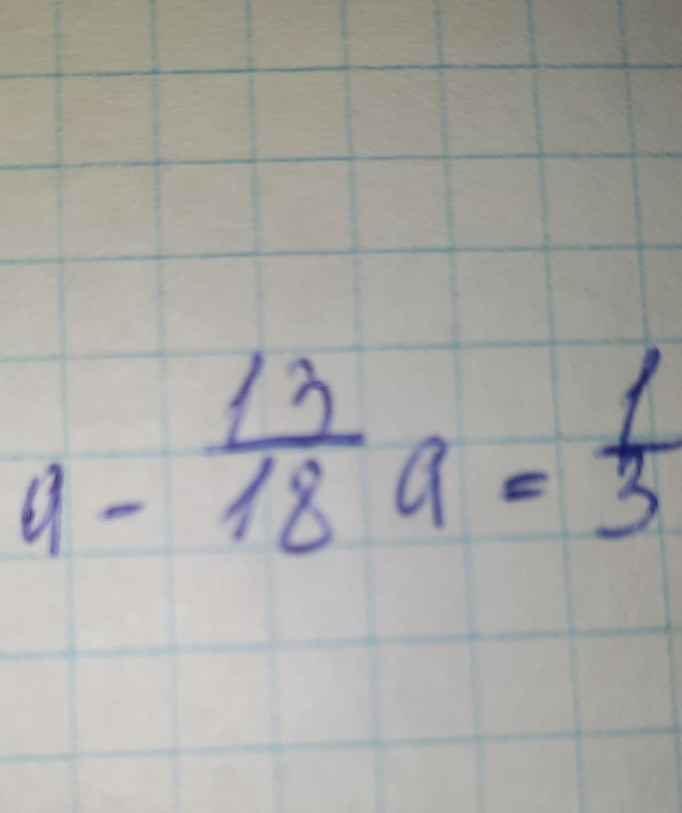
Ответ:

а=1,2

Пошаговое объяснение:

Нужно домножить на 18:

Тогда 18а-13а=6

5а=6

а= 1,2  


stoanovakata157: типо 18а -13а и все?
ya1glupa: А что еще? )
Вас заинтересует