• Предмет: Математика
  • Автор: Аноним
  • Вопрос задан 3 года назад

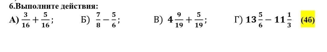
Выполните действия:

А) 3/16+5/16;

Б) 7/8-5/6;

В) 4 9/19+5/19;

Г) 13 5/6-11 1/3

Помогите, пожалуйста.

Приложения:

Аноним: ну значит не пиши
Аноним: если не нравится

Ответы

Ответ дал: karolka2009
1

Пошаговое объяснение:

отметь как самый лучший здесь все правильно!

Приложения:

Аноним: Спасибо.
Вас заинтересует