• Предмет: Физика
  • Автор: Ekaterinka1414
  • Вопрос задан 3 года назад

Помогите пожалуйста! Хотя бы один номер​

Приложения:

Ответы

Ответ дал: fatt52
1

Ответ:

Объяснение:

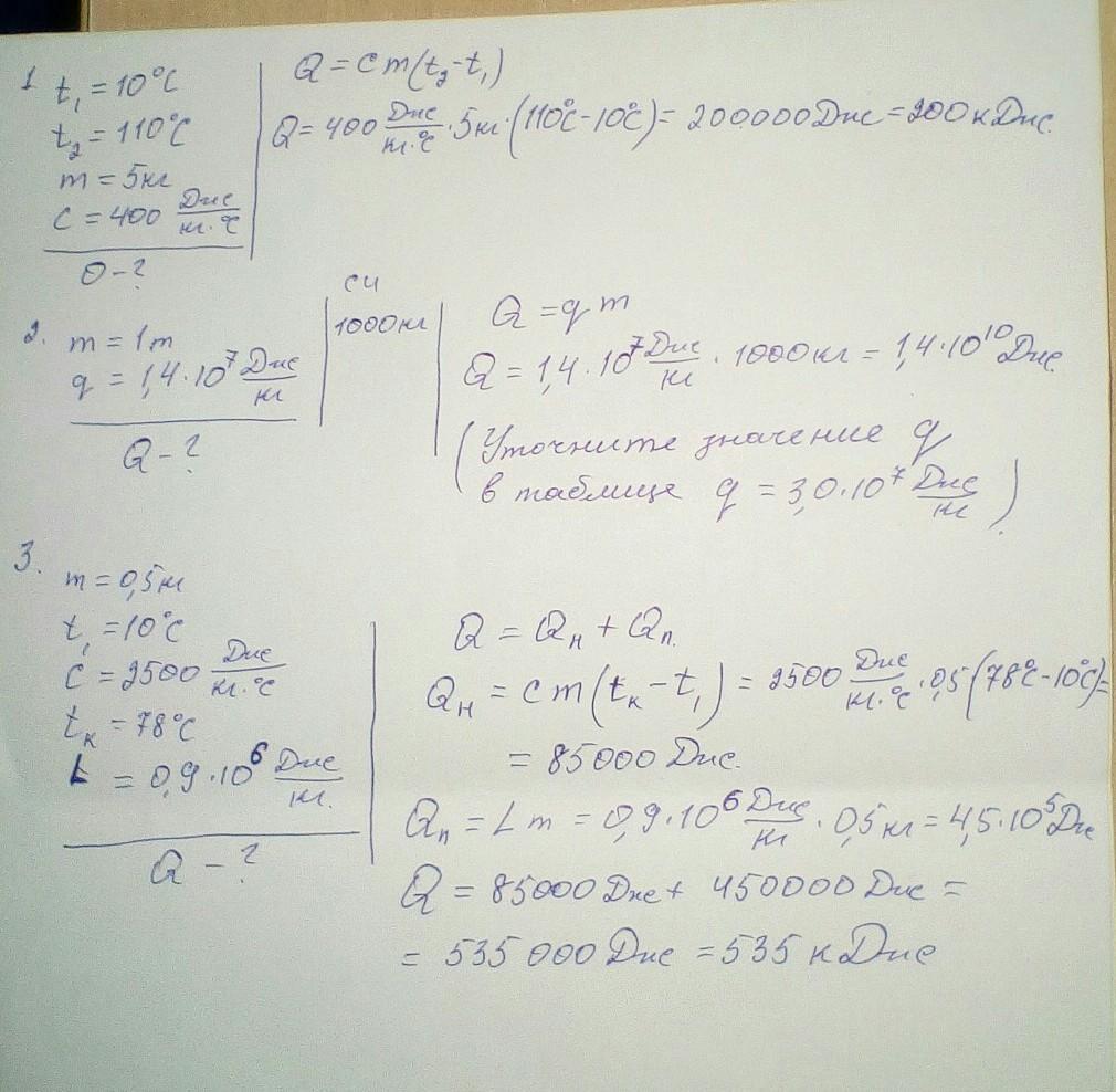
1)   Δt=100°    m=5 кг    c=400 Дж/(кг*С)    Q=?

===

Q=c*m*Δt=400*5*100=200000 Дж

=========================================

2) m=10^3 кг     q=1.4*10^7 Дж/кг     Q=?

===

Q=q*m=1.4*10^7*10^3=1.4*10^10 Дж

===============================


aktotyaubekerozp0uz: Извините не могли бы вы помочь решить физику. Автомобиль проезжает 225 км со скоростью 75 км/ч. КПД двигателя автомобиля составляет 25%. Полезная мощность-52 кВт. Сколько дизельного топлива использовала машина? (q_diesel = 42 МДж/кг) *
Ответ дал: ivankorobejnikov74
0

Ответ:

...............................................

Приложения:

aktotyaubekerozp0uz: Извините не могли бы вы помочь решить физику. Автомобиль проезжает 225 км со скоростью 75 км/ч. КПД двигателя автомобиля составляет 25%. Полезная мощность-52 кВт. Сколько дизельного топлива использовала машина? (q_diesel = 42 МДж/кг) *
Вас заинтересует