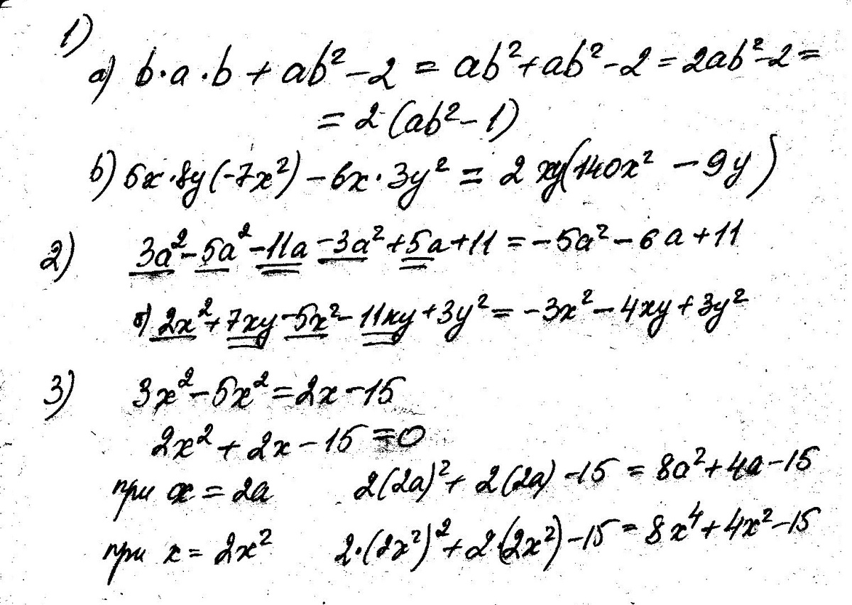
1.Запишіть у стандартному вигляді многочлен
a)b·a·b+ab²-2
b)5x·8y·(-7x²)-6x·3y²
2 виконайте зведення подібних членів.a)3a²-5a²-11a-3a²+5a+11
b)2x²+7xy-5x²-11xy+3y²
3.дано многочлен
3x²-5x²=2x-15
складіть новий многочлеен і запишіть його в стандартному вигляді підставивши замість х:
а)2а
б)2х²
Ответы
Ответ дал:
0
Решение представлено в приложении
Приложения:

Вас заинтересует
2 года назад
2 года назад
8 лет назад
10 лет назад
10 лет назад
10 лет назад