Ответы
Ответ дал:
0
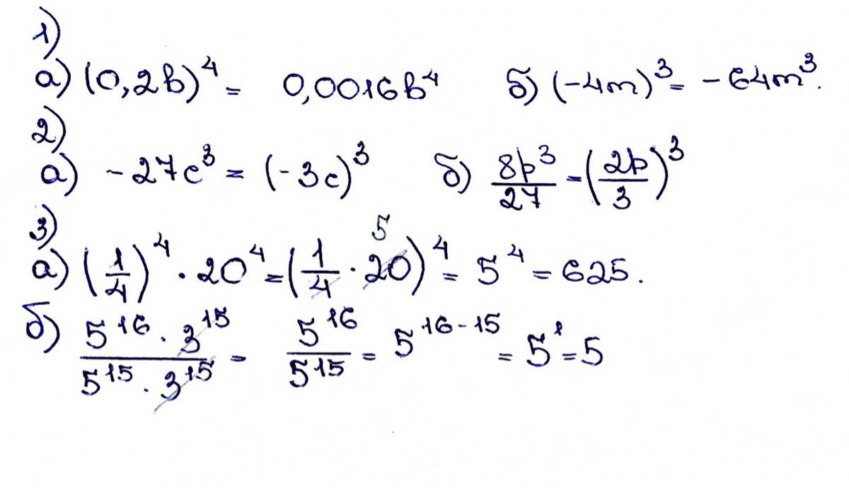
то, что зачеркнуто карандашом - это значит, что числа сокращаются. надеюсь поймёшь. за лучший ответ заранее спасибо!!
Приложения:

Вас заинтересует
2 года назад
2 года назад
9 лет назад