Ответы
Ответ дал:
0
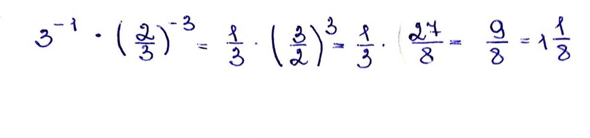
Ответ:
1,125
Объяснение:
Ответ дал:
0
решение на фотографии-
Приложения:

Вас заинтересует
2 года назад
2 года назад
2 года назад
2 года назад
7 лет назад
7 лет назад
9 лет назад