• Предмет: Математика
  • Автор: jkolijkoli1
  • Вопрос задан 3 года назад

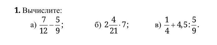
помогите решить дроби (в файле) ​

Приложения:

Ответы

Ответ дал: RybaVoblla
1

Ответ:

1) \:  \frac{7}{12} -  \frac{5}{9} =  \frac{21 - 20}{36}  =  \frac{1}{36}  \\ 2) \: 2 \frac{4}{21}  \times 7 =  \frac{46}{21}  \times 7 =  \frac{46}{3}  = 15 \frac{1}{3}  \\ 3) \:  \frac{1}{4}  + 4.5 \div  \frac{5}{9}  =  \frac{1}{4}  +  \frac{45}{10}  \times  \frac{9}{5}  =  \frac{1}{4} +  \frac{81}{10}  =  \frac{5}{20}  +  \frac{162}{20}  =  \frac{167}{20}  = 8 \frac{7}{20}

Вас заинтересует