• Предмет: Математика
  • Автор: kir15122002
  • Вопрос задан 3 года назад

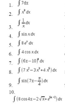
помогите решить хотя бы половину пожалуйста

Приложения:

Ответы

Ответ дал: leberdav
0

Ответ:

    x dx       1       2x dx         1       d(7+x²)        1

  ∫ --------= ---- ∫------------ =----- ∫ ------------- =---- ln(7+x²)+C

      7+x²      2        7+x²          2        7+x²           2  

[1/2 *ln(7+x²)+C ]¹= 1/2*[ 2x /(7+x²)+0]= x /(7+x²)

         x+18                (x-2)+20             1       2(x-2)                            dx

2) ∫-------------dx=∫ --------------- dx= ---- ∫-------------- dx+20 ∫ -------------- =

       x²-4x-12            (x-2)²-16              2    (x-2)²-16                 (x-2)²-16    

    1                                          1          |  x-2-4    |           1                             5         | x-6  |

=----- *ln|(x-2)²-16|+20 *--------- *ln |-----------| +C= ----- *ln |x²-4x-12|+-----*ln |-------| +C  

     2                                     2*8           |  x-2+4  |            2                             4         | x+2 |  

 

3) ∫(3-x) cosx dx=[ u=3-x , du=-dx ,  dv=cosx dx ,  v=sinx ] =(3-x)sinx+∫ sinx dx=  

 =(3-x)sinx-cosx+C

  [(3-x)sinx-cosx]¹= -sinx+(3-x)cosx+sinx +0=(3-x)cosx

Пошаговое объяснение:


kir15122002: можешь ещё 2 хотя бы пожалуйста
leberdav: Ну не больше ничего не знаю прости
Вас заинтересует