• Предмет: Математика
  • Автор: kuantkanovsplit
  • Вопрос задан 3 года назад

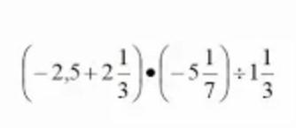
1. Есептеңіз -2,5+....., помогите пожалуйста​

Приложения:

Ответы

Ответ дал: gulimmanap07
5

Пошаговое объяснение:

.......................

Приложения:

Аноним: спс
samalaskarovna7331: спс спасибо очень помогли
gulimmanap07: не за что))
Вас заинтересует