• Предмет: Математика
  • Автор: danyafallin
  • Вопрос задан 3 года назад

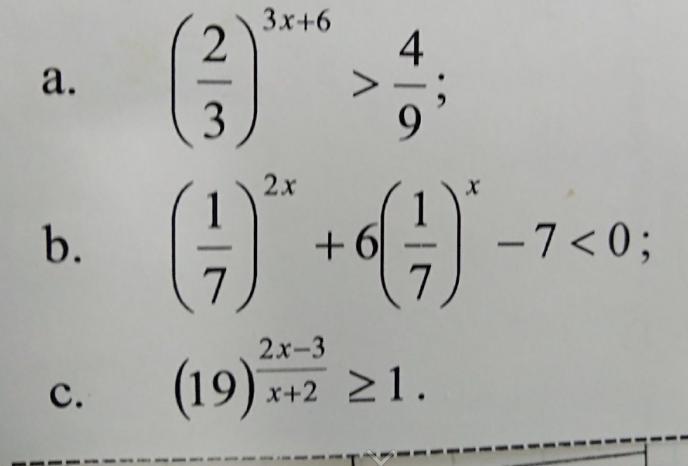
Решите неравенство
30 баллов даю

Приложения:

Ответы

Ответ дал: Miroslava227
0

Ответ:

a) {( \frac{2}{3}) }^{3x + 6}  >  {( \frac{2}{3} )}^{2}

основание меньше 1, знак меняется

3x + 6 < 2 \\ 3x <  - 4 \\ x <  -  \frac{4}{3}

b) {( \frac{1}{7}) }^{2x}  + 6 \times  {( \frac{1}{7} )}^{x}  - 7 < 0

замена:

 {( \frac{1}{7}) }^{x}  = t \\  {t}^{2}  - 6t - 7 < 0 \\ d = 36 + 28 = 64 \\ t1 =  \frac{6 + 8}{2} = 7 \\  t2 =  - 1 \\ (t - 7)(t + 1) < 0 \\  \\  {( \frac{1}{7} )}^{x}  >  - 1 \\  {( \frac{1}{7} )}^{x}  < 7 \\  \\

х - любое число и х>-1

Ответ: х > -1.

c) {19}^{ \frac{2x - 3}{x + 2} }  \geqslant 1 \\  \frac{2x - 3}{x + 2}  \geqslant 0

х принадлежит [-2;1,5].

Вас заинтересует