• Предмет: Математика
  • Автор: ansemton
  • Вопрос задан 3 года назад

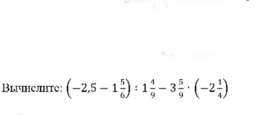
Помогите пожалуйста очень срочно!!!!!!!!!!!!!!!

Приложения:

Ответы

Ответ дал: cartoonsees
0

Ответ:

5

Пошаговое объяснение

на фото

Приложения:

ansemton: Можно само решение пжжж
cartoonsees: хорошо
cartoonsees: все сделала
Ответ дал: sanchous230707
0

Ответ:

9

Пошаговое объяснение:

Вас заинтересует