• Предмет: Алгебра
  • Автор: dzozevlourenson21
  • Вопрос задан 3 года назад

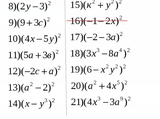
СРОЧНО ПОМОГИТЕ!!!!!!!!!!!!! зачёркнутое не надо делать

Приложения:

Ответы

Ответ дал: rakhmanovaskhat
0
Какой класс????????????????????
Ответ дал: damirbekovna
1

Ответ:

8)(2y-3)²=4y²+9

9)(9+3c)²=81+9c²

10)(4x-5y)²=16x²+25y²

11)(5a+3b)²=25a²+9b²

12)(-2c+a)²=4c²+a²

13)(a²-2)²=a⁴+4²

14)(x-y³)²=x²-y⁵

Вас заинтересует