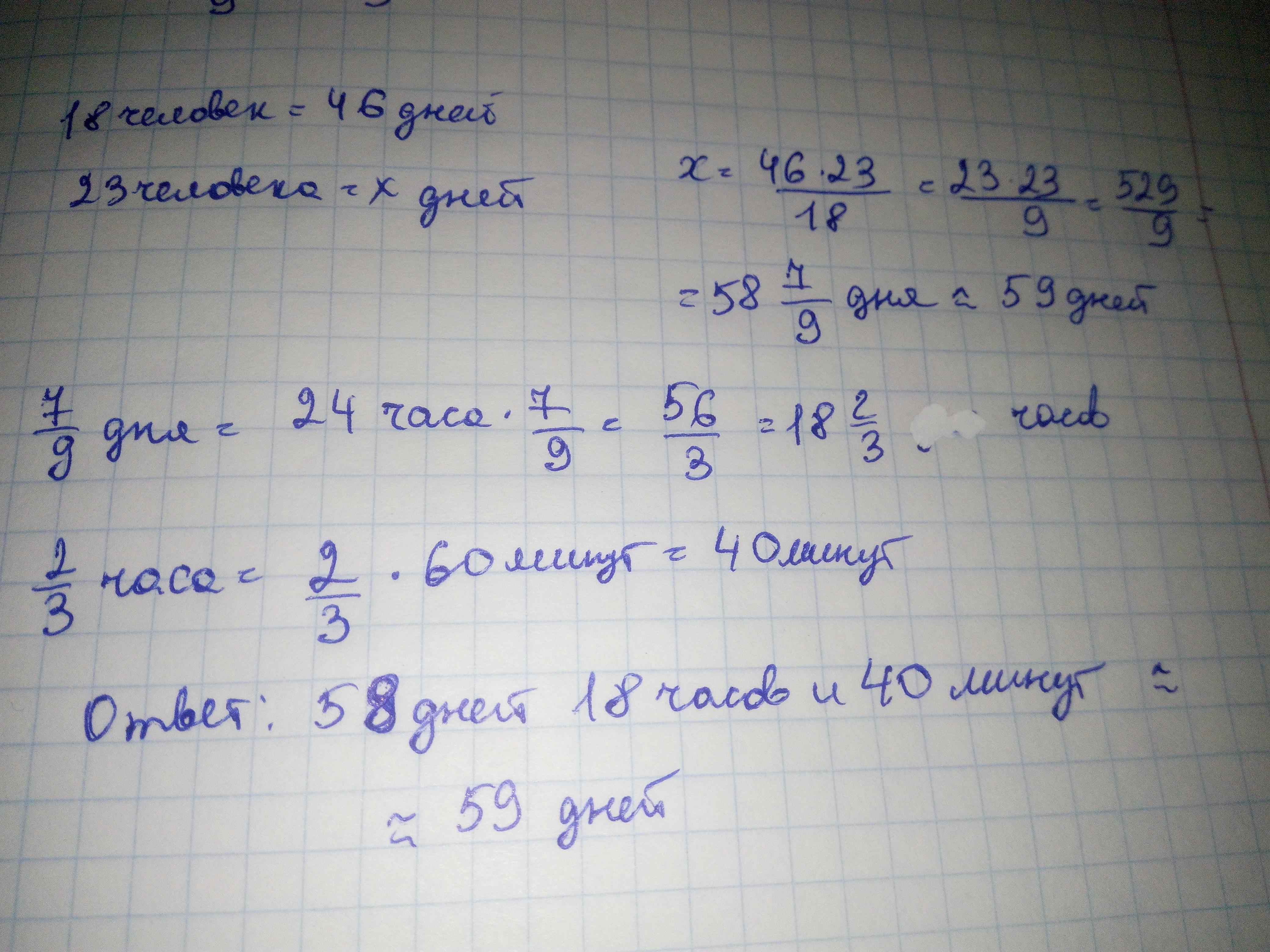
18 человек могут построить дом за 46 дней. За сколько дней смогут построить дом 23 человека при той же производительности труда?
Ответы
Ответ дал:
1
Ответ:
Пошаговое объяснение:
Приложения:

myrataldimuratov:
неправильно как 23 человека строят за 59 дней если 18 за 46 дней
Ответ дал:
0
Ответ:
18*46=828
828 : 23=36
Пошаговое объяснение:
Вас заинтересует
2 года назад
2 года назад
2 года назад
2 года назад
7 лет назад
7 лет назад
9 лет назад