Ответы
Ответ дал:
0
Пошаговое объяснение:11
12
÷
2
6
=
11
12
·
6
2
=
11 · 6
12 · 2
=
66
24
=
11 · 6
4 · 6
=
11
4
knurpapa:
Спасибо верно
Ответ дал:
0
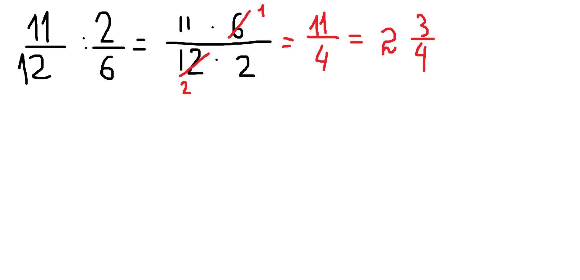
Ответ: 2 3/4
Пошаговое объяснение: смотри на фото!
Приложения:

Вас заинтересует
2 года назад
2 года назад
2 года назад
7 лет назад
9 лет назад