• Предмет: Физика
  • Автор: saitoitoshi
  • Вопрос задан 3 года назад

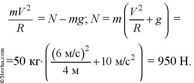
Мальчик массой 50 кг качается на качелях с длиной подвеса 4 м. С какой силой мальчик давит на сидение при прохождении низшего положения со скоростью 6 м/с?

Ответы

Ответ дал: HelpMePlease74737
3

Ответ:

Дано:

m = 50 кг; R = 4 м; V = 6м/с.

Найти N.

Решение:прикрепил в файле

Ответ: N = 950 H.

Приложения:

saitoitoshi: такой же ответ я видела под таким же вопросом, однако с условием, что идет среднее положение
saitoitoshi: меня это напрягает, не мог бы ты объяснить?
Вас заинтересует