ПРОШУ ВАС ЛЮДИ ПОМОГИТЕ УМАЛЯЮ ВАС Я ЗДЕЕЕЕЕЕЕСЬ ПОМОГИТЕ С МАТЕМ!!!!!!! ДАЮ 20 БАЛЛОВ
Приложения:

Ответы
Ответ дал:
1
Ответ:
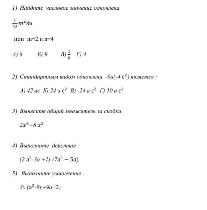
1) г
2) б
3) 2х^3(x^2+4)
4) 2a-5a^2+1
5) 3ya^2-24y^2+27ya-6y
Пошаговое объяснение:
Вас заинтересует
2 года назад
2 года назад
2 года назад
2 года назад
7 лет назад
7 лет назад
9 лет назад