• Предмет: Математика
  • Автор: Аноним
  • Вопрос задан 3 года назад

помогите пж или некто не поможет​

Приложения:

kulfaizov09: ща помогу
kulfaizov09: неа
Аноним: кау
Аноним: почему
Аноним: тука

Ответы

Ответ дал: WAYYP
0

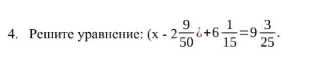
Ответ:

157/30 или 5.23

Пошаговое объяснение:

х - 109/50 + 91/15 = 228/25

х + 528/150 = 228/25

х = 157/30

странный ответ, но по жругому никак


WAYYP: а не не так не увидел i
Вас заинтересует