ниже представлены два уравнения известно что число - 2 является корнем каждого из них найдите значение числа m и второй корень уравнения
Приложения:

Ответы
Ответ дал:
0
Объяснение:
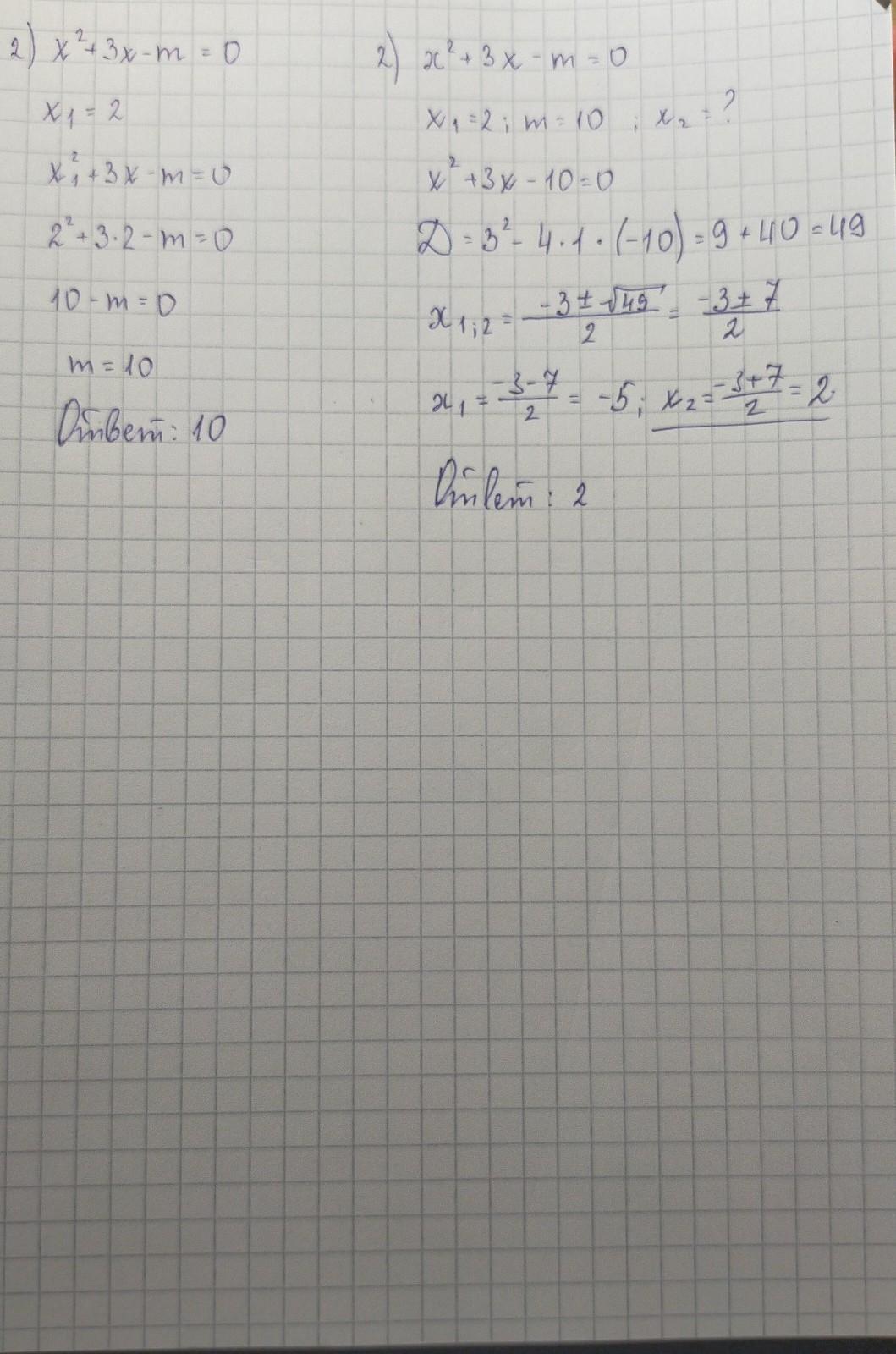
все расписано на листке
Приложения:

Вас заинтересует
2 года назад
2 года назад
2 года назад
2 года назад
7 лет назад
9 лет назад
9 лет назад