• Предмет: Алгебра
  • Автор: Judasha
  • Вопрос задан 3 года назад

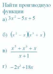
Найти производную функций

Приложения:

Ответы

Ответ дал: Miroslava227
0

Ответ:

а)

y' = 6x - 5

б)

y' = ( {x}^{2}  - x)'( {x}^{3}  + x) +  ({x}^{2}  - x)( {x}^{3}  + x)' = \\ (2x - 1)( {x}^{3}  + x) + ( {x}^{2}  - x)(3 {x}^{2}  + 1) =  \\ 2{x}^{4}  + 2 {x}^{2}  -  {x}^{3}  - x + 3 {x}^{4}  +  {x}^{2}  + 3 {x}^{3}  - x =  \\ 5 {x}^{4}  + 2 {x}^{3}  + 3 {x}^{2}  - 2x

в)

y' =  \frac{( {x}^{5} +  {x}^{3} + x)'(x + 1) - (x + 1)'( {x}^{5}   +  {x}^{3}  + x) }{ {(x + 1)}^{2} }  = \\ \frac{(5 {x}^{4}  + 3 {x}^{2} + 1)(x + 1) - 1 \times ( {x}^{5}  +  {x}^{3} + x)  }{ {(x + 1)}^{2} }  = \\ \frac{5 {x}^{5}  + 5 {x}^{4} + 3 {x}^{3}  + 3 {x}^{2} + x + 1 -  {x}^{5}  -  {x}^{3}    - x }{ {(x + 1)}^{2} }  = \\ \frac{4 {x}^{5} + 5 {x}^{4}  + 2 {x}^{3}   + 3 {x}^{2}  + 1}{ {(x + 1)}^{2} }

г)

y' =  - 6 {x}^{2}  + 18

Вас заинтересует