Выполните самостоятельную работу.
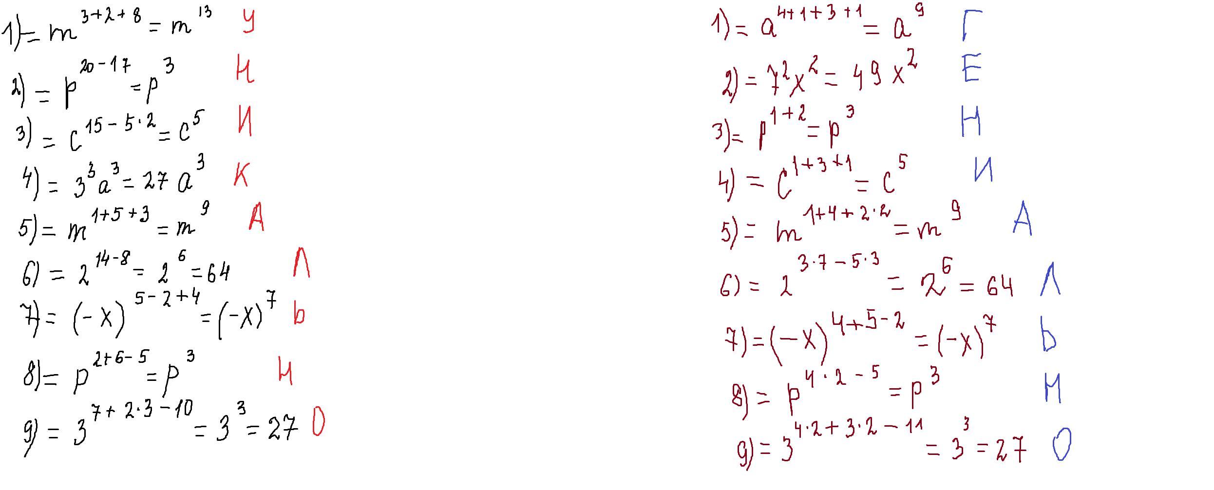
К заданию прилагается ключ. В случае правильного решения из каждого столбика получается слово
Приложения:

Ответы
Ответ дал:
0
Ответ:
Объяснение:
уникально,гениально
решение внизу
Приложения:

Вас заинтересует
2 года назад
2 года назад
2 года назад
2 года назад
7 лет назад
9 лет назад