• Предмет: Алгебра
  • Автор: Friday48
  • Вопрос задан 3 года назад

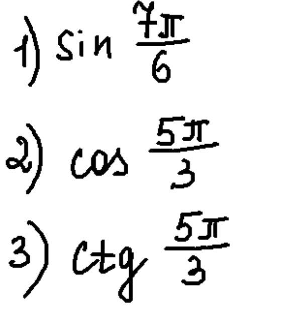
35 Баллов. Вычислить с помощью формул приведения
-------------------------------

Приложения:

Ответы

Ответ дал: svyatoslavbodnaruk
1

Объяснение:

1) sin210°=sin(180°+30°)=sin30°=1/2

2) cos300°=cos(270°+30°)=sin30°=1/2

3) ctg300°=ctg(270°+30°)=tg30°=1/√3

Как-то так


Friday48: забыл еще знаки поставить, в первом будет -1/2, а другие надо проверить
Вас заинтересует