• Предмет: Алгебра
  • Автор: Конопуша
  • Вопрос задан 11 лет назад

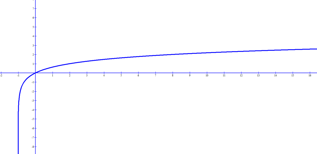
Постройте схематически график функции y=log(x+3) По основанию 3

Ответы

Ответ дал: Vladislav006
0
График представлен ниже =====
Приложения:
Вас заинтересует