• Предмет: Математика
  • Автор: condescension
  • Вопрос задан 3 года назад

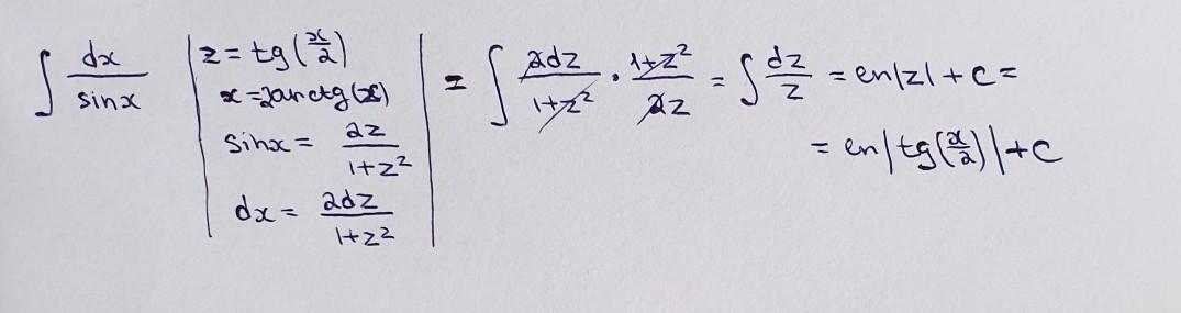
вычислить интеграл ∫dx/sin(x)
использовать замену z=tg(x/2)

Ответы

Ответ дал: Miroslava227
0

Ответ:

решение на фотографии

Приложения:
Вас заинтересует