Ответы
Ответ дал:
1
Ответ:
Пошаговое объяснение:
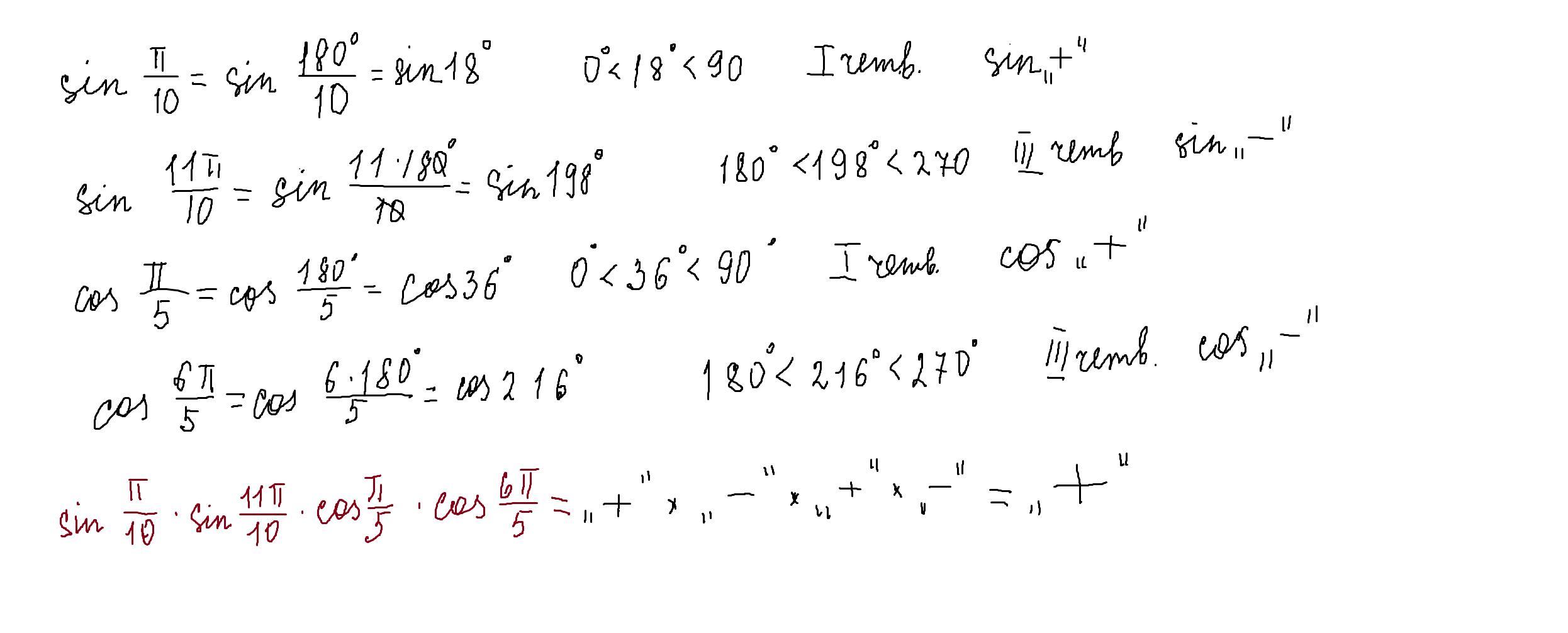
превращаем радианы в градусы и находим в какой четверти эти углы,по таблице смотрим,какой знак у этой функции в этой четверти,потом находим "произведение знаков" и получаем ответ,что знак у этого выражения "+"
Приложения:


Вас заинтересует
2 года назад
2 года назад
2 года назад
7 лет назад
7 лет назад
9 лет назад