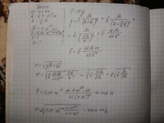
Визначте силу тяжіння, яка діє на тіло масою 20 кг, якщо це тіло підняте над поверхнею Землі на відстань, що дорівнює чверті радіуса Землі. Визначте першу космічну швидкість на цій висоті.
Ответы
Ответ дал:
0
У файлі ............................
Приложения:
Вас заинтересует
3 года назад
3 года назад
8 лет назад
8 лет назад
11 лет назад
11 лет назад
11 лет назад