Ответы
Ответ дал:
1
Ответ:
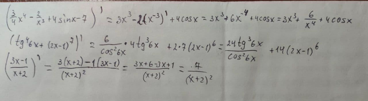
див. фото
Пошаговое объяснение:
Приложения:

vladyatsuk:
Прошу відмітити як найкращу відповідь і поставити 5 зірок :)
Вас заинтересует
2 года назад
2 года назад
2 года назад
7 лет назад
7 лет назад
9 лет назад
9 лет назад