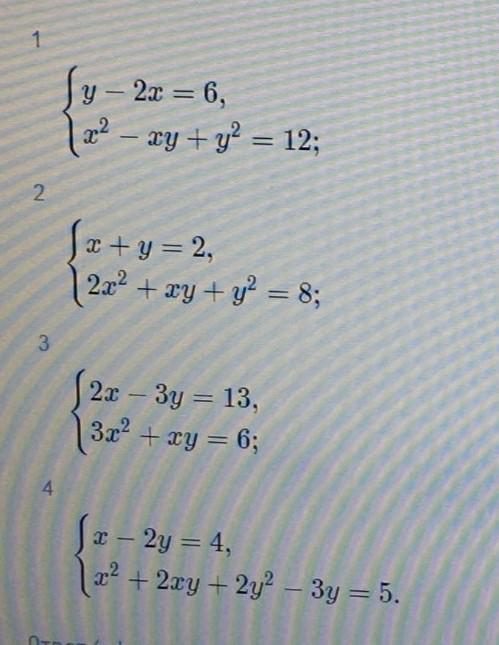
Пожалуйста помогите!
Решите систему уравнений, расписывая действия.
Простите за качество, фотографировал не я.
Приложения:

Ответы
Ответ дал:
1
Решение во вложении...
Приложения:




Victory2213:
Спасибо большое, прям жизнь мне спас)
Вас заинтересует
2 года назад
2 года назад
2 года назад
2 года назад
7 лет назад
7 лет назад
9 лет назад
9 лет назад