Ответы
Ответ дал:
1
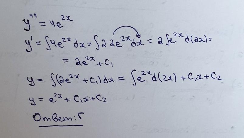
решение на фотографиях
Ответы:
1Г
2В
3Б
4А
Приложения:



Pranya69:
спасибо !
Вас заинтересует
2 года назад
2 года назад
2 года назад
9 лет назад