• Предмет: Алгебра
  • Автор: anekdot12
  • Вопрос задан 3 года назад

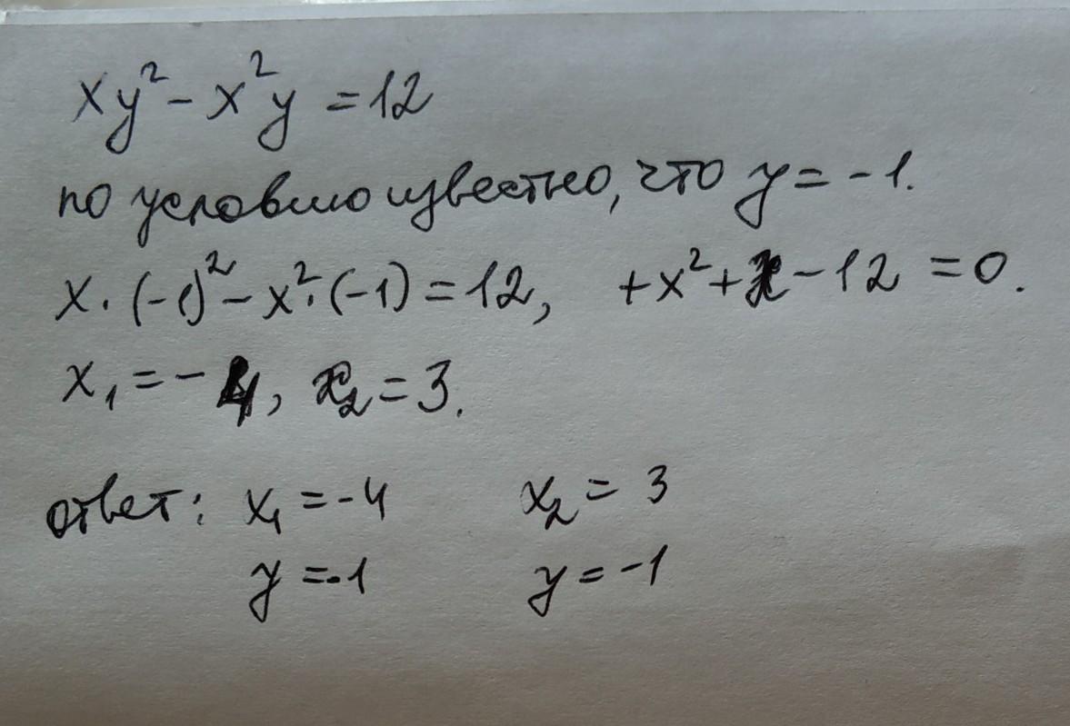
Найдите такие решения уравнения ху^2 – х^2y = 12, в
которых
б) значение у равно -1.​

Ответы

Ответ дал: kirichekov
1

Объяснение:

решение во вложении...

Приложения:
Вас заинтересует