• Предмет: Математика
  • Автор: kek509
  • Вопрос задан 3 года назад

Помогите срочно!!! Даю 30 баллов

Приложения:

Ответы

Ответ дал: Miroslava227
1

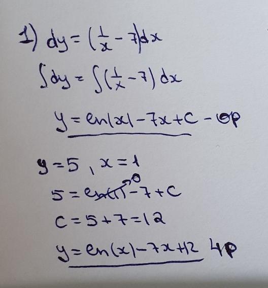
решение на фотографиях

Ответы (частное решение):

1)y =  ln(x)  - 7x + 12

2) {y}^{2}  = 3 -  \frac{1}{ {x}^{2} }

3)y = 3 {x}^{2}  + 2x + 3

Приложения:
Вас заинтересует