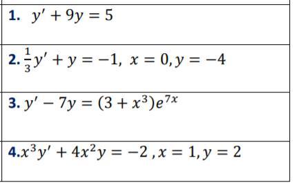
Помогите решить пожалуйста: "Линейные дифференциальные уравнения первого порядка". Даю 20 баллов.
Приложения:

Ответы
Ответ дал:
1
Ответ:
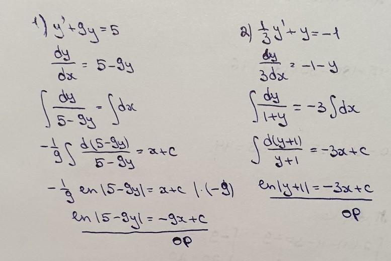
решение на фотографиях
Приложения:



Вас заинтересует
2 года назад
2 года назад
7 лет назад
7 лет назад
9 лет назад