Ответы
Ответ дал:
1
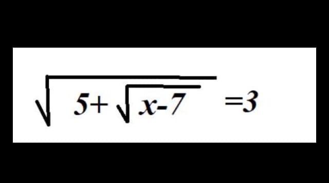
Добрый день, ответ на фотографии
Удачи☺
Приложения:

Вас заинтересует
2 года назад
2 года назад
2 года назад
2 года назад
7 лет назад
9 лет назад