Ответы
Ответ дал:
0
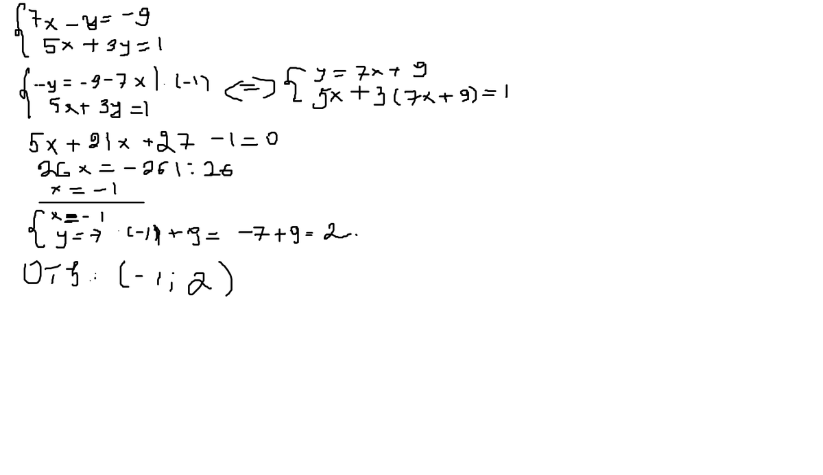
Держи, а вообще такого рода задания решаются очень легко, надо просто решить систему уравнений
Приложения:

Вас заинтересует
2 года назад
8 лет назад
8 лет назад
10 лет назад