Значение t,a,x,b,c (в зависимости от варианта) вводить с клавиатуры
на языке С++
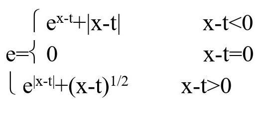
формула на фото
Приложения:
Ответы
Ответ дал:
1
#include <iostream>
#include <cmath>
using namespace std;
int main() {
int x, t;
double e;
cin >> x >> t;
if ((x - t) < 0) {
e = exp(x - 1) + abs(x - t);
}
else if ((x - t) == 0) {
e = 0;
}
else if ((x - t) > 0) {
e = exp(abs(x - t) + pow(x - t, 0.5));
}
cout << e;
return 0;
}
Вас заинтересует
2 года назад
2 года назад
2 года назад
2 года назад
8 лет назад
9 лет назад