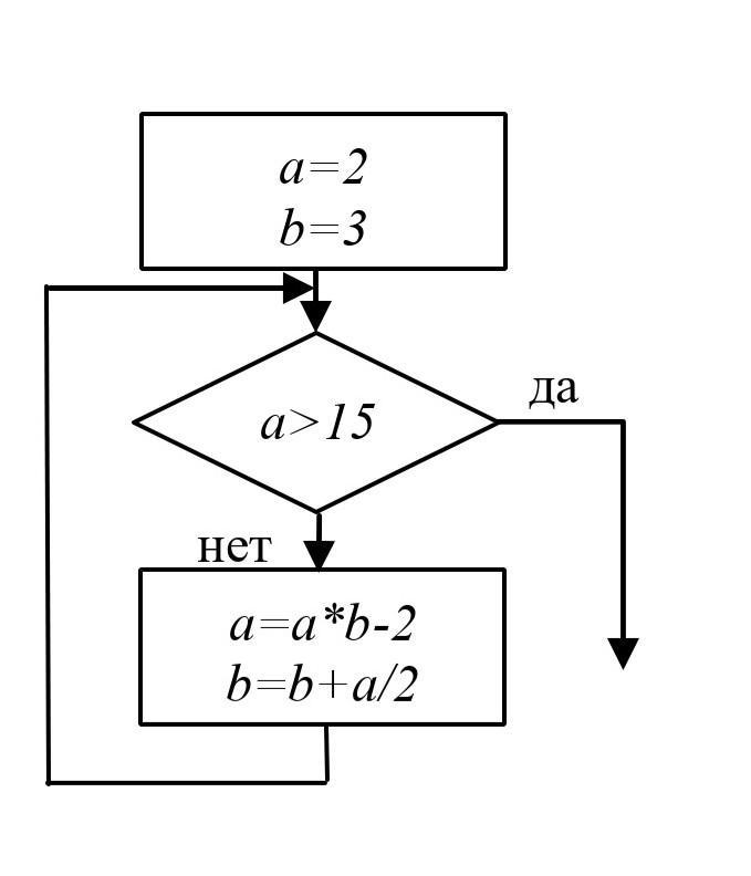
3. Определите значение переменной b после выполнения фрагмента алгоритма: ​

Приложения:

Ответы

Ответ дал: KennyLans
0
  • а (2) > 15?

а = а * b – 2 = 2 * 3 – 2 = 6 – 2 = 4

b = b + a/2 = 3 + 4/2 = 3 + 2 = 5

  • а (4) > 15?

а = а * b – 2 = 4 * 5 – 2 = 20 – 2 = 18

b = b + a/2 = 5 + 18/2 = 5 + 9 = 14

Ответ: b: = 14..

Вас заинтересует