СРОЧНО!!!!
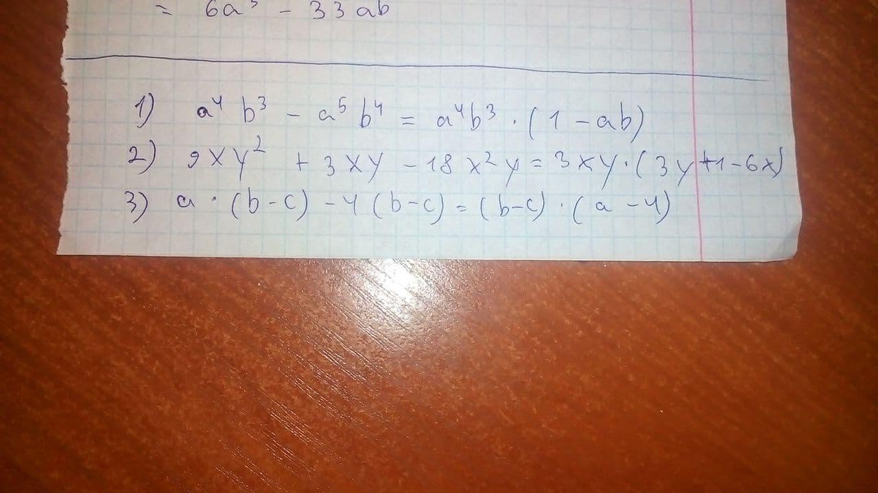
Разложите на множители а4b3 - a5b4
a5b4(b2 - a2)
a4b3(1 - a2)
a4b2(b2 - a2)
a4b2(b - ab2)
Вопрос № 3
Разложите на множители 9ху2 + 3ху - 18х2у
3ху(3у + у - 6х)
3х(3у2 + 3у - 6ху)
3ху(3у + 1 - 6х)
3ху(у2 + 1 - 6х)
Вопрос № 4
Разложите на множители a(b - c) - 4(b - c)
(a - 4)(b - c)
(a + 4)(c - b)
(a - 4)(b + c)
(a - 4)(c - b)
Вопрос № 5
Разложите на множители a(2 + b) + b + 2
(b + 2)(a + 1)
(2 + b)(a - 1)
(b + 2)a
(2 + b)(1 - a)
Вопрос № 6
Разложите на множители a(b - c) - (c - b)
(a - 1)(b - c)
(a + 1)(b - c)
(a - 1)(c - b)
(a + 1)(c - b)
Вопрос № 7
Разложите на множители 5x - 5y - ax + ay
(x - y)(a - 5)
(x - y)(a + 5)
(x - y)(5 - a)
(y - x)(5 + f)
Вопрос № 8
Вычислите 419 ⋅ 519 - 4192
41900
4190
419
419000
Ответы
Ответ дал:
2
Ответ: Фото.
Объяснение:
Приложения:


Вас заинтересует
2 года назад
2 года назад
2 года назад
7 лет назад
7 лет назад
9 лет назад
9 лет назад