• Предмет: Математика
  • Автор: karaosmanovaana
  • Вопрос задан 3 года назад

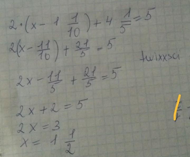
Решите уравнение: 2∙(х-1 1/10)+4 1/5=5 1/3 по дескриптору ​

Приложения:

karaosmanovaana: 2∙(х-1 1/10)+4 1/5=5 1/3
karaosmanovaana: пожалуйста решите
karaosmanovaana: и это ×
vdeykalo1: спорим что твоя фамилия начинается на буквы от а до м?

Ответы

Ответ дал: twixxsci
1

решение на фото

...........

Приложения:

karaosmanovaana: а здесь 11 /10 что ли
karaosmanovaana: нужно одна целая 1/10
twixxsci: а да?
twixxsci: сейчас
Ответ дал: kim08an
2

Ответ:

Ответ верный

Пошаговое объяснение:

х=5/3 = 1 2/3

Вас заинтересует