• Предмет: Математика
  • Автор: karaosmanovaana
  • Вопрос задан 3 года назад

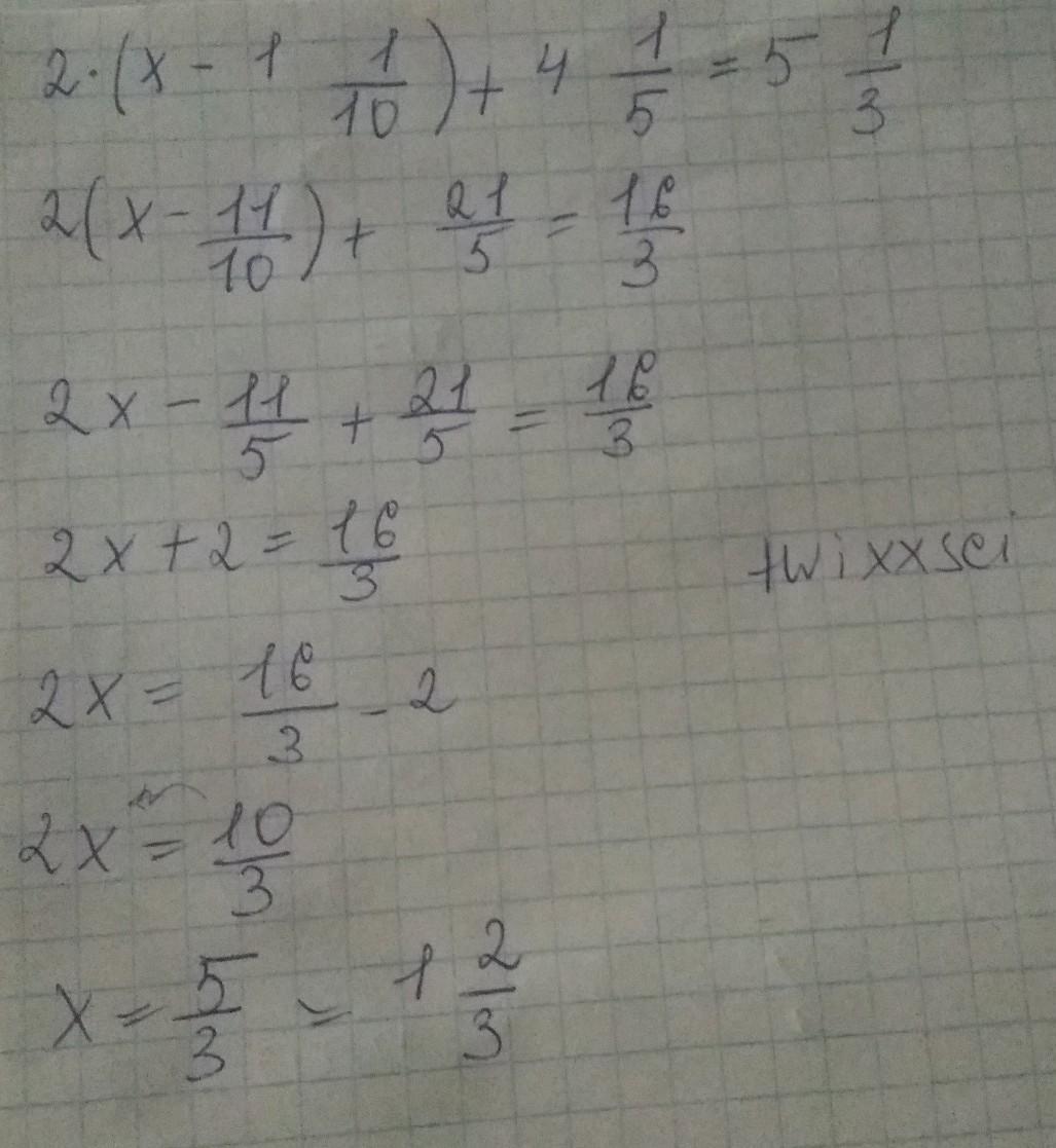
Решите уравнение: 2∙(х-одна целая 1/10)+четыре целых 1/5=пять целых 1/3 по дискриптору ​

Приложения:

karaosmanovaana: помогите пожалуйста я вас прошу

Ответы

Ответ дал: twixxsci
1

Ответ:

решение на фото

Пошаговое объяснение:

...................

Приложения:

karaosmanovaana: спасибо большое
karaosmanovaana: спасибо огромное
karaosmanovaana: спасибо спасибо спасибо спасибо спасибо
Вас заинтересует