• Предмет: Геометрия
  • Автор: narkozget
  • Вопрос задан 3 года назад

Помогите пожалуйста ​

Приложения:

Ответы

Ответ дал: tomayandrey
0

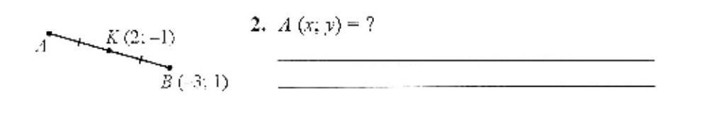
Ответ:

А(1, -2)

Объяснение:

Вас заинтересует